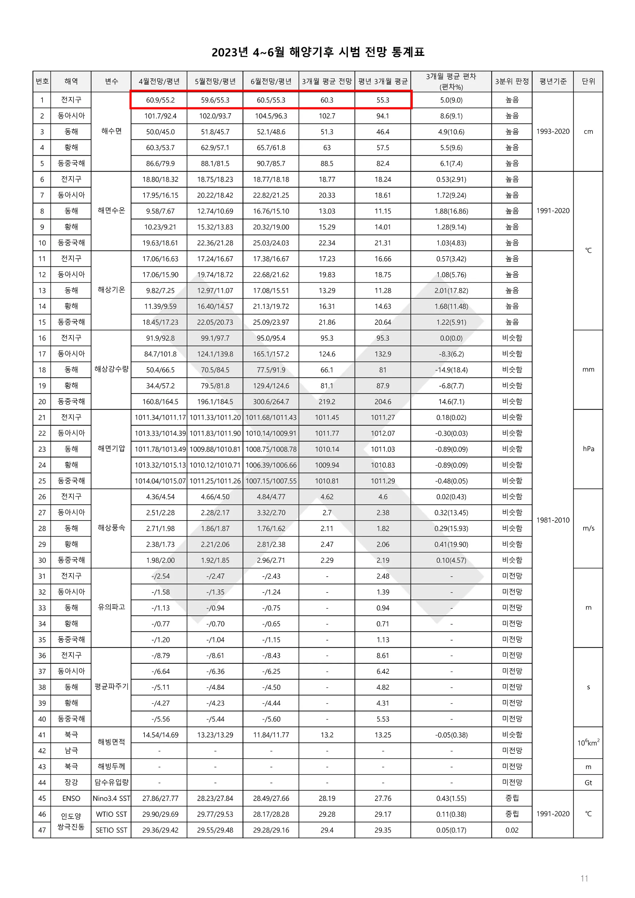
2023년 3월 31일 발간된 2023년 4월~2023년 6월 해양기후 시범 전망 내용에 오류(해수면 평균 및 편차)가 발견되어 다음과 같이 사후 수정하였음을 알려드리오니 양해 부탁드립니다.
혼란을 드려 죄송합니다.
(PDF 오류 수정 후 업데이트 : 2023/04/05 2:10PM)
[좌] 수정 전
(온라인 오류 수정 후 업데이트 : 2023/04/04 04:10PM)
수정내용 : 전지구 해수면 3개월 전망 월별 평균 및 편차 수정
[좌] 수정 전
[우] 수정 후



.jpg&blockId=30b71ba3-fc52-448d-8a54-bfb73792065a)
.jpg&blockId=fbe32619-e690-4ff0-857c-51e87ff88045)



